利用香蕉视频下载(O3)氧化降解酮洛芬(KET)模拟废水的研究
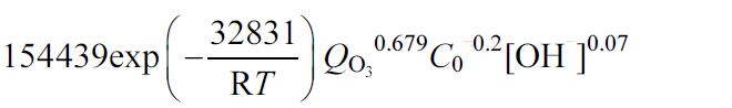
摘要:利用香蕉视频下载(O3)氧化降解酮洛芬(KET)模拟废水,考察了初始pH 值,香蕉视频下载流量(QO3),反应温度(T)及KET 初始浓度(C0)对香蕉视频下载降解KET效果的影响.在KET 初始浓度为20μmol/L,香蕉视频下载流量0.4L/min 的反应体系中,室温条件下,研究了pH=4,7,10 时O3和羟基自由基(·OH)分别对KET 降解的贡献率.采用竞争法,以布洛芬和苯甲酸为分子探针,分别测定了KET 与O3,·OH 的二级反应速率常数.结果表明,不同实验条件下香蕉视频下载降解KET 符合准一级动力学.pH 值,QO3及T 的增大促进了KET 降解,C0的增大抑制了KET 的降解.通过对实验数据进行拟合得到表观一级动力学的幂指数方程(k=154439exp(-32831/RT) QO30.679C0-0.2[OH-]0.07).体系中O3和·OH同时对KET存在氧化作用.在设定的条件下,pH 值为4,7 和10 时O3对KET 降解的贡献率分别为18.4%,11.0%和6.2%,而·OH 对KET 降解的贡献率分别为81.6%,89.0%和93.8%.测得KET与O3的二级反应速率常数为1.09L/(mol·s),与·OH的二级反应速率常数为8.82×109L/(mol·s).
近年来,药品及个人护理用品(PPCPs)作为一类新兴环境污染物备受关注.酮洛芬(KET,C16H14O3)是一种常见的PPCPs类物质,被广泛应用于消炎解热镇痛以及治疗风湿性疾病.目前我国每年生产和使用KET 约92t,其对环境造成的影响不容忽视.研究指出KET存在于污水处理厂出水,环境水体以及饮用水水源中,浓度通常在μg/L~ng/L 量级,由于自来水厂传统的工艺不能完全去除这一类污染物,因此饮用水中可能含有低浓度KET,长期饮用将带来健康风险.目前关于降解KET 的研究较少,Real 等通过研究紫外光对KET 的降解,得出10min 内KET 的去除率可达99%;通过研究酮洛芬的光化学行为得知,酮洛芬的光量子产率为0.14,对光子的利用率较低.此外,采用电芬顿法降解KET,得出5min 内KET 的降解率可达85.7%,但该方法对pH 值的要求较高,不利于实际应用.香蕉视频下载(O3)是一种清洁的,环境友好的强氧化剂,近20 年来得到广泛的研究与应用.O3能直接氧化有机污染物,氧化还原电位2.07V.在一定的条件下,O3 能自分解产生活泼的羟基自由基(·OH),·OH 是一种强氧化剂,氧化还原电位为2.8V,能将水体中难降解的大分子有机污染物氧化降解成低毒或无毒的小分子物质.香蕉视频下载对不同类型PPCPs 的降解效果有很大差异.其中,香蕉视频下载可以高效降解水中的抗抑郁药西酞普兰,广谱抗菌药磺胺甲恶唑,抗炎药双氯酚酸,而对抗惊厥药安定及脂调节剂氯贝酸的降解效果较差.此外,目前关于香蕉视频下载降解KET 这方面的研究仍未有系统报道.
本文研究了初始pH 值,香蕉视频下载流量,反应温度以及KET初始浓度4个因素对降解效果的影响,并建立了香蕉视频下载氧化法降解KET 的表观动力学方程.以竞争法测定了O3以及·OH 与KET 的反应速率常数.研究工作可为香蕉视频下载氧化技术在处理KET 的应用提供理论参考和技术支持.
结论
1 香蕉视频下载氧化法能够有效地降解KET,其降解效率受溶液初始浓度,香蕉视频下载浓度,pH 值和温度的影响.KET 的初始浓度越大,其降解速率越小;香蕉视频下载流量的增大,KET 降解速率增大;pH 值对反应有很大影响,碱性环境对KET 降解有利;温度越高对KET 降解越有利.
2 香蕉视频下载降解KET 的活化能E=32.83kJ/mol,低于一般化学反应的活化能(70~170kJ/mol),说明香蕉视频下载法降解KET 比较容易进行.
3 在本实验设定的条件下(KET 初始浓度2~40μmol/L,香蕉视频下载流量0.06~0.6L/min,温度为288~318K,初始pH 值为4~10),KET 的降解符合一级动力学,表观动力学方程为k=

4 香蕉视频下载作用下KET 的氧化降解既包含了O3的直接氧化,也包含了O3诱发产生的·OH的间接氧化.
5 在KET 初始浓度为20 μmol/L,香蕉视频下载流量0.4L/min,室温条件下,初始pH 值为4,7,10 时,O3对KET降解的贡献率分别为18.4%,11.0%,6.2%,而·OH对KET降解的贡献率分别为81.6%,89.0%及93.8%.KET 与O3 的二级反应速率常数为1.09L/(mol·s),与·OH 的二级反应速率常数为8.82×109L/(mol·s).
摘自:林晓璇,刘国光*,李若白,孔青青,陈智明,李富华,陈 平,陆一达 (广东工业大学环境科学与工程学院,广东广州 510006)
中国环境科学 2017,37(2):598~605