香蕉视频下载+粉末活性炭催化剂处理含吡啶废水实验
2010 年,中国已经成为世界上很大的制造国]。工业的快速发展引发了严重的环境问题, 2018 年,中国地表水中仍有29. 0%的水体在IV 类以下]。吡啶广泛应用于工业生产的各个行业是一类具有较大危害性的物质。香蕉视频下载作为一种强氧化剂,常用于污水处理当中。然而,吡啶吸电子特性较强,具有抗香蕉视频下载化作用。另外,香蕉视频下载分子的水溶性较差,利用率低,运行成本高。通过向香蕉视频下载体系中投加催化剂,催化香蕉视频下载产生·OH 可以解决这些问题。粉末活性炭的催化效果好,但在水中不易分离,通过在其上负载磁性物质,可以很好的实现催化剂的分离回收。文章采用碱性共沉淀法制备了磁性活性炭作为香蕉视频下载催化剂,对于含吡啶废水的处理以及实现催化剂的回收具有重要的意义。
1.材料与方法
1.1 仪器与试剂
香蕉视频下载发生器 ;分光光度计 ; 离心机; 恒温加热磁力搅拌器; 数显鼓风干燥箱; 超高效液相色谱 ; 扫描电镜 ; TOC 测定仪 ; X 射线粉末衍射仪,FeSO4·7H2O、FeCl3·6H2O、NaOH、吡啶、浓盐酸、浓硝酸、叔丁醇、无水亚硫酸钠,以上试剂均为分析纯试剂。实验用水为超纯水,粉末活性炭。
1.2 实验方案及反应装置
1.2.1 磁性活性炭的制备
本实验采用碱性共沉淀法在粉末活性炭上负载
四氧化三铁,制备磁性活性炭,具体方法如下:首先,筛分出180 ~ 300 目的粉末活性炭,然后用超纯水洗去活性炭表面的粉尘,之后放入稀释20倍的盐酸∶硝酸= 3∶1( 体积比) 溶液中,并对溶液施加超声1 小时。之后用超纯水冲洗粉末活性炭,洗至上清液呈中性,置活性炭于104℃烘干,备用。称取1. 39 g FeSO4 ·7H2O 与2. 70 g FeCl3 ·6H2O 置于250 mL 的烧杯中,倒入150 mL 超纯水配置Fe3 +∶Fe2 + = 2∶1 的混合溶液,加入1. 46 g 预处理后的粉末活性炭,快速搅拌30 min,使溶液混合均匀。然后,使用恒温水浴锅控制混合溶液温度为70℃并搅拌,同时逐滴将50 ml 的2M 氢氧化钠溶液快速滴入混合液中,反应时间为1 h。反应完成后,用超纯水清洗复合材料,洗至上清液呈中性,将得到的沉淀在烘箱中于60℃烘干,作为磁性活性炭催化剂备用。
1.2.2 香蕉视频下载水的制备
在密封的容器中倒入超纯水,通过钛合金曝气头不断曝入香蕉视频下载。将容器放入水浴磁力搅拌器中,控制水浴温度至6℃以下,以提高香蕉视频下载的溶解度,不断搅拌水溶液,提高香蕉视频下载溶解效率。在曝气过程中,通过分光光度法不断测定香蕉视频下载水的浓度,当测定的香蕉视频下载水浓度达到实验进行所需要的浓度时停止曝气,立即进行催化香蕉视频下载氧化实验。
1.2.3 催化香蕉视频下载氧化降解吡啶实验
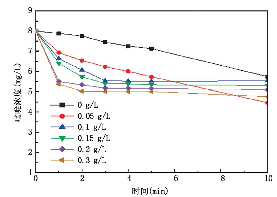
将制备的香蕉视频下载水取500 mL 置于烧杯中,加入所需质量的吡啶与磁性活性炭,通过搅拌桨不断搅拌。按照要求在0 min、1 min、2 min、3 min、4 min、5 min、10min 时取样,把取得的样品通过0. 45 微米的聚醚砜滤膜过滤去除催化剂,为了终止香蕉视频下载反应,再滴入一定量的亚硫酸钠溶液,得到的溶液作为待测样品保存。
1.3 催化剂的表征方法
通过XRD 分析,判断活性炭负载的磁性物质的晶体结构; 通过扫描电镜分析,判断活性炭负载前后表面结构的变化; 通过FTIR 分析,得到活性炭表面官能团的变化。
1.4 吡啶浓度测定方法
本实验采用高效液相色谱法来检测吡啶的浓度,本实验中应用的是安捷伦液相色谱,色谱柱为C18 色谱柱,色谱仪的流动相采用的是乙腈和水,比例为40∶60,流动相的流量设定为0. 2 mL /min,检测器波长为254 nm。
1.5 香蕉视频下载水浓度测定
香蕉视频下载水浓度测定: 通过紫外分光光度法检测香蕉视频下载水的浓度,取一定体积的香蕉视频下载水注入1 cm 的比色皿中,分光光度计的波长设定为260 nm,测定香蕉视频下载水的吸光度,根据郎伯- 比尔定律计算香蕉视频下载浓度,计算公式如( 1) :
2.结论

文章以粉末活性炭为载体,通过碱性共沉淀法制备了磁性活性炭。通过XRD 和扫描电镜对粉末活性炭和磁性活性炭进行表征,证明活性炭上成功地负载上了四氧化三铁。以磁性活性炭为催化剂,催化香蕉视频下载降解吡啶,提高了吡啶的去除效果。向催化体系中投加叔丁醇,发现吡啶去除效果降低,说明催化体系中有·OH 的生成。对反应过程中的TOC 进行了测定,发现单独香蕉视频下载化体系对TOC 基本没有去除,而催化体系中TOC 的去除率可以达到17. 45%,说明·OH 可以提高吡啶的矿化度。通过沉淀实验发现磁性活性炭具有良好的磁分离性能。
曹一丰,陈志强,温沁雪
( 哈尔滨工业大学环境学院城市水资源与水环境国家重点实验室,黑龙江哈尔滨150090)