香蕉视频免费观看,香蕉视频下载,香蕉黄色电影,香蕉视频APP污在线观看

香蕉视频下载实验装置一站式服务平台
当前位置: 主页 > 新闻动态 > 香蕉视频下载知识 >
烯烃的香蕉视频下载化、炔烃的氧化
来源:www.4000060606.com 发布时间:2024-04-19 浏览次数:

烯烃的香蕉视频下载化、炔烃的氧化 
香蕉视频下载广泛的用途是进行碳碳双键的氧化断裂,根据后处理条件的不同可生成羰基化合物或醇。这些反应一般是在低温(–25~–78 oC)下,混合于空气或者氧气中的香蕉视频下载气流通过底物在惰性溶剂中进行的。常用的溶剂是CH2Cl2和MeOH,或者是二者的混合溶剂。很多烯烃都能进行香蕉视频下载化反应,给电子基团取代的双键比吸电子基团取代的双键反应更快。还原的后处理过程生成醛、酮或者醇。用LiAlH4或NaBH4后处理可以全部还原为醇。氧化的后处理过程把过酸的香蕉视频下载分解产物转化为酮或者羧酸[1]。用该方法可以从环烯出发制备许多产物 (式1)[2]。
三甲基硅氧基烯由香蕉视频下载氧化断裂,再经过氧化后处理过程生成二酸,或者经过还原后处理过程生成羟基或含氧衍生物 (式2)[3]。如果后处理条件恰当,这个反应就是Baeyer-Villiger氧化的一个很好的补充。α,β-不饱和酮与香蕉视频下载的反应一般得到比原分子少一个碳的酮酸。1,3-二烯的香蕉视频下载分解反应中,双键能够发生选择性的氧化断裂,在1,3-环二烯中,一级香蕉视频下载化物碎裂的区域选择性取决于环的大小 (式3)[4]。位阻大的烯用香蕉视频下载化处理一般生成环氧化物。
加入 Lewis 酸可以增强香蕉视频下载的亲电反应性。相反的,在香蕉视频下载化反应中加入少量吡啶,可以明显降低香蕉视频下载的反应性而同时提高香蕉视频下载进攻的区域选择性 (式7)[8]。
相对于其它烯烃的氧化断裂试剂而言,香蕉视频下载是比较好的一种。其它试剂如四氧化锇、高锰酸钾、高碘酸钠或羧酸镉等都价格昂贵、有很高的毒性,并且会造成金属离子污染,后处理步骤复杂。
 
炔烃的氧化 
炔烃与香蕉视频下载的反应比烯烃与香蕉视频下载的反应慢[5]。当同时有烯键和炔键存在时,烯键会优先发生反应。炔烃与香蕉视频下载反应既可以产生羧酸,又可以产生α-二羰基化合物(还原后处理过程) (式4)[1]。很多还原试剂都可以用来生成α-二羰基化合物。端炔在香蕉视频下载作用下能够得到α-羰基醛。
 
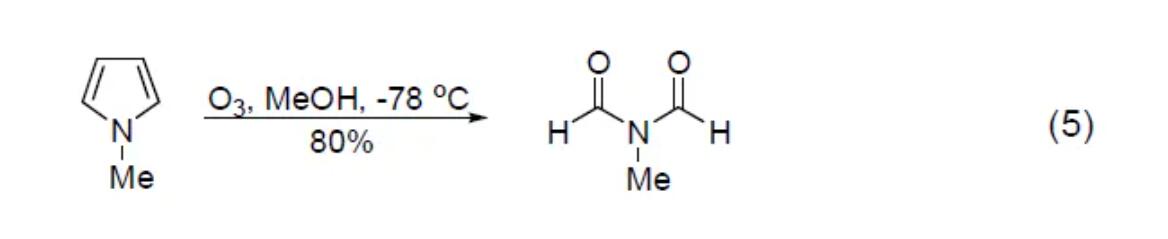
芳香体系的香蕉视频下载分解
芳香化合物对香蕉视频下载的反应性比烯烃和炔烃弱。杂环体系的香蕉视频下载分解反应主要包括从喹啉合成吡啶衍生物,香蕉视频下载分解咪吡咯得到N-乙酰氨基化合物 (式5)[6],香蕉视频下载分解呋喃体系释放出潜在的羧酸官能团等。
 
杂原子的香蕉视频下载化
在香蕉视频下载作用下,磷化氢可以转化为氧化膦,亚磷酸盐可以转化为磷酸盐。有机硫化物在香蕉视频下载作用下可以转化为亚砜或者砜。三级胺香蕉视频下载化可以转化为氧化胺,而一级胺香蕉视频下载化则以适中产率生成硝基化合物。硒化物在香蕉视频下载作用下转化为硒氧化物,此反应经常用于制备不饱和羰基化合物 (式6)[7]。
 
其他
醛可以通过在乙酸甲酯或乙酸乙酯中香蕉视频下载化转化为过酸,或者在10% 的KOH甲醇溶液中香蕉视频下载化得到甲酯。在催化剂量的Fe3+存在下,在香蕉视频下载作用下,NO2可以直接将苯二甲酸酯硝化 (式8)[9]。香蕉视频下载还可以氧化氮杂环丙基酯上的N-二苯甲基保护基团,得到脱保护的氧化氮杂环丙基酯和二苯甲酮 (式9)[10]。
 
参考文献
 
1. (a) Razumovskii, S. D.; Zaikov, G. E. Ozone and Its Reactionswith Organic Compouds, Elsevier: Amsterdam, 1984. (b)Hudlicky, M. Oxidation in Organic Chemistry, AmericanChemical Society: Washington, 1990.
2. Gupta, D.; Soman, R.; Dev, S. K. Tetrahedron, 1982, 38,3013.
3. (a) Clark, R. D.; Heathcock, C. H. Tetrahedron Lett., 1974,2027. (b) Clark, R. D.; Heathcock, C. H. J. Org. Chem., 1976,41, 1396.
4. Wang, Z.; Zvlichovsky, G. Tetrahedron Lett., 1990, 31, 5579.
5. Dieter Cremer, D.; Crehuet, R.; Anglada, J. J. Am. Chem. Soc.,2001, 123, 6127.
6. Kashima, C.; Harada, K.; Hosomi, A. Heterocycles, 1992, 33,385.
7. Grese, T. A.; Hutchinson, K. D.; Overman, L. E. J. Org.Chem., 1993, 58, 2468.
8. Haag, T.; Luu, B.; Hetru, C. J. Chem. Soc., Perkin. Trans. I,1988, 2353.
9. Nose, M.; Suzuki, H.; Suzuki, H. J. Org. Chem., 2001, 66,4356.
10. Patwardhan, A. P.; Lu, Z. J.; Pulgam, V. R.; Wulff. W. D.Org. Lett., 2005, 7, 2201.
本文转自:《现代有机合成试剂——性质、制备和反应》,胡跃飞等编著